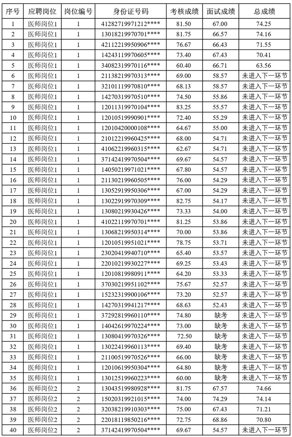
天津医科大学肿瘤医院2026年博士等人员公开招聘面试成绩及总成绩
2026-02-12 17:12



- 天津医科大学第二医院2026年第二批公开招聘笔试考核成绩
- 天津医科大学肿瘤医院2026年人事代理制招聘面试成绩及总成绩
- 天津市安定医院2026年度招聘派遣制工作人员成绩
- 天津市口腔医院2026年度专业技术岗位工作人员(人事代理制)招
- 天津中医药大学第一附属医院2026年第一批公开招聘总成绩及进入
- 天津医科大学口腔医院2026年第一批公开招聘通过资格初审人员名
- 天津市河西区2026年卫生健康系统公开招聘事业单位工作人员笔试
- 天津中医药大学第一附属医院2026年第二批公开招聘进入笔试人员
- 天津市卫生健康委员会所属天津市儿童医院2026年度公开招聘资格
- 天津市红桥区卫生健康委所属事业单位2026年公开招聘工作人员笔
- 天津医科大学第二医院2026年第二批公开招聘笔试考核成绩
- 天津医科大学肿瘤医院2026年人事代理制招聘面试成绩及总成绩
- 天津市安定医院2026年度招聘派遣制工作人员成绩
- 天津市口腔医院2026年度专业技术岗位工作人员(人事代理制)招
- 天津中医药大学第一附属医院2026年第一批公开招聘总成绩及进入
- 天津医科大学口腔医院2026年第一批公开招聘通过资格初审人员名
- 天津市河西区2026年卫生健康系统公开招聘事业单位工作人员笔试
- 天津中医药大学第一附属医院2026年第二批公开招聘进入笔试人员
- 天津市卫生健康委员会所属天津市儿童医院2026年度公开招聘资格
- 天津市红桥区卫生健康委所属事业单位2026年公开招聘工作人员笔
