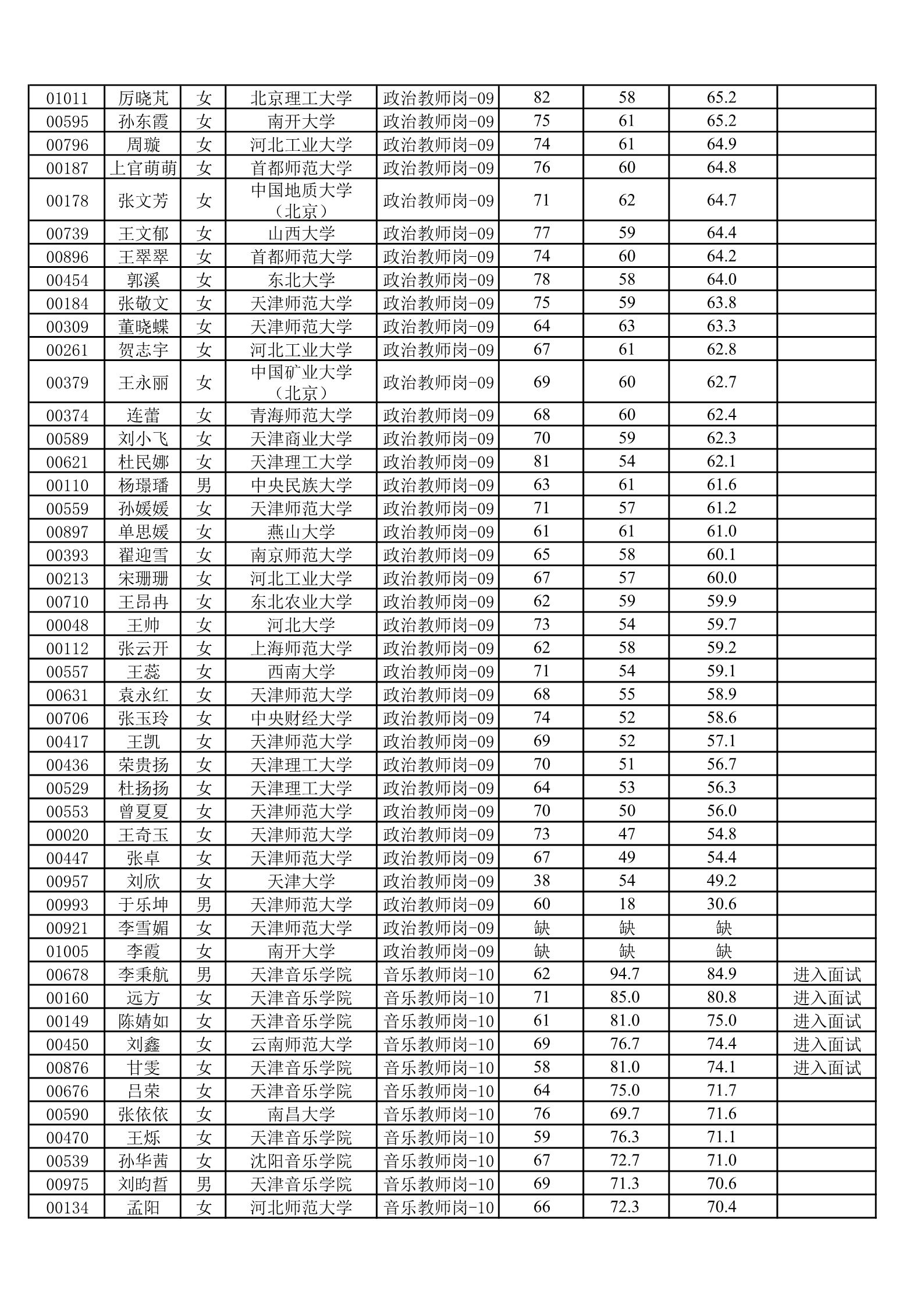
天津一中2020年公开招聘笔试成绩公示
2019-12-23 16:39 分享到:
【半月讲坛教育提醒】2020年天津更多报考信息请关注天津半月讲坛官网(www.banyuetanedu.com)或微信公众号(tjbanyuetan),天津半月讲坛教育咨询电话:022-23108061,天津半月讲坛教育蓟州分校咨询电话:022-29880199。

- 天津师范大学2020年公开招聘博士或高级职称教师岗位人员资格审
- 2019年天津市北辰区教育系统公开招聘工作人员拟聘用人员公示
- 天津市2020届教育部直属师范大学公费师范毕业生拟聘人员公示(
- 天津市西青区王稳庄镇第二幼儿园公开招聘编外工作人员资格复
- 天津市西青区2019下半年公开招聘教师公示公告(第三批)
- 人力资源社会保障部 教育部 中央编办 财政部关于做好2020年中小
- 2020年天津市津南区教育系统面向社会招聘教师报考情况统计 (
- 2020年西青区李七庄街第三幼儿园公开招聘编外工作人员报名情况
- 2020年天津市津南区教育系统面向社会招聘教师报考情况统计(统
- 2019年天津机电职业技术学院招聘劳务派遣制工作人员 面试安排
- 天津师范大学2020年公开招聘博士或高级职称教师岗位人员资格审
- 2019年天津市北辰区教育系统公开招聘工作人员拟聘用人员公示
- 天津市2020届教育部直属师范大学公费师范毕业生拟聘人员公示(
- 天津市西青区王稳庄镇第二幼儿园公开招聘编外工作人员资格复
- 天津市西青区2019下半年公开招聘教师公示公告(第三批)
- 人力资源社会保障部 教育部 中央编办 财政部关于做好2020年中小
- 2020年天津市津南区教育系统面向社会招聘教师报考情况统计 (
- 2020年西青区李七庄街第三幼儿园公开招聘编外工作人员报名情况
- 2020年天津市津南区教育系统面向社会招聘教师报考情况统计(统
- 2019年天津机电职业技术学院招聘劳务派遣制工作人员 面试安排











