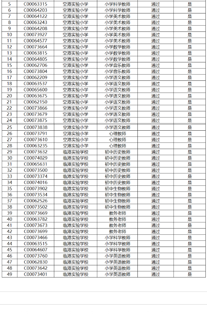
2021年天津港保税区二次公开招聘资格复审结果公示
2022-03-09 14:21 分享到:

文章来源:https://registalent.zhiye.com/a/fsgg
【半月讲坛教育提醒】更多报考信息请关注天津半月讲坛官网(www.banyuetanedu.com)或微信公众号(tjbanyuetan),天津半月讲坛教育咨询电话:022-81110908,南开分校咨询电话:022-87495105,西青分校咨询电话:022-23980221,蓟州分校咨询电话:022-29880199,宝坻分校咨询电话:022-22588509。

- 2024年天津市津南区教育系统面向社会公开招聘教师总成绩公示
- 2024年天津市津南区教育系统面向社会公开招聘教师体检通知
- 2024年天津市和平区教育系统事业单位面向社会第二次公开招聘工
- 2024年天津市河西区教育系统公开招聘(工作人员)综合成绩公示
- 2024年天津市河西区教育系统公开招聘(工作人员)选岗通知
- 2024年中新天津生态城教育系统教职人员公开招聘递补人员体检及
- 2024年天津港保税区教育系统公开招聘工作人员体检通知
- 天津市静海区教育系统2024年度公开招聘事业单位工作人员体检及
- 2024年天津市和平区教育系统事业单位面向社会第二次公开招聘工
- 天津市宁河区教育系统2024年公开招聘工作人员总成绩公示
- 2024年天津市津南区教育系统面向社会公开招聘教师总成绩公示
- 2024年天津市津南区教育系统面向社会公开招聘教师体检通知
- 2024年天津市和平区教育系统事业单位面向社会第二次公开招聘工
- 2024年天津市河西区教育系统公开招聘(工作人员)综合成绩公示
- 2024年天津市河西区教育系统公开招聘(工作人员)选岗通知
- 2024年中新天津生态城教育系统教职人员公开招聘递补人员体检及
- 2024年天津港保税区教育系统公开招聘工作人员体检通知
- 天津市静海区教育系统2024年度公开招聘事业单位工作人员体检及
- 2024年天津市和平区教育系统事业单位面向社会第二次公开招聘工
- 天津市宁河区教育系统2024年公开招聘工作人员总成绩公示







